Skip to contents

Calculates point estimates of \(m\)-year return levels for fitted model objects returned from gev_mle.

Usage

gev_return(x, m = 100, npy = 1)

Arguments

x

An object inheriting from class evmissing returned from gev_mle.

m

A numeric vector. Values of \(m\), the return periods of interest, in years.

npy

A numeric scalar. The number \(n_{py}\) of block maxima per year. If the blocks are of length 1 year then npy = 1.

Value

An object with class c("return_level", "numeric", "evmissing"). A numeric vector containing the MLEs of the required return levels, with names indicating the return period. The fitted model object returned from gev_mle is included as an attribute called "gev_mle". The input arguments m and npy are also included as attributes as is the call to gev_return.

Details

For \(\xi \neq 0\), the \(m\)-year return level is given by \(z_m = \mu + \sigma (y_p ^ {-\xi} - 1) / \xi\), where \(y_p = -\log(1 - p)\) and \(p = 1 - (1 - 1 / m) ^ {1 / n_{py}}\). For \(\xi = 0\), \(z_m = \mu - \sigma \log y_p\). Equivalently, we could note that \(z_m = \mu - \sigma BC(y_p, -\xi)\), where \(BC(x, \lambda)\) is a Box-Cox transformation.

References

Coles, S. G. (2001) An Introduction to Statistical Modeling of Extreme Values, Springer-Verlag, London. doi:10.1007/978-1-4471-3675-0_3

See also

return_level_methods for print, summary, coef, vcov and confint methods.

Examples

## Simulate raw data from an exponential distribution

set.seed(13032025)
blocks <- 50
block_length <- 365
sdata <- sim_data(blocks = blocks, block_length = block_length)

# sdata$data_full have no missing values
# sdata$data_miss have had missing values created artificially

# Fit a GEV distribution to block maxima from the full data
fit1 <- gev_mle(sdata$data_full, block_length = sdata$block_length)
summary(fit1)
#> 
#> Call:
#> gev_mle(data = sdata$data_full, block_length = sdata$block_length)
#> 
#>       Estimate Std. Error
#> mu     5.82700     0.1769
#> sigma  1.08400     0.1306
#> xi    -0.01449     0.1243

# Make adjustment for the numbers of non-missing values per block
fit2 <- gev_mle(sdata$data_miss, block_length = sdata$block_length)
summary(fit2)
#> 
#> Call:
#> gev_mle(data = sdata$data_miss, block_length = sdata$block_length)
#> 
#>       Estimate Std. Error
#> mu     5.97300     0.1907
#> sigma  1.07400     0.1157
#> xi    -0.05945     0.1177

gev_return(fit1, m = c(100, 1000))
#>  100-year level 1000-year level 
#>        10.65225        12.95378 
gev_return(fit2, m = c(100, 1000))
#>  100-year level 1000-year level 
#>        10.29673        12.05854 

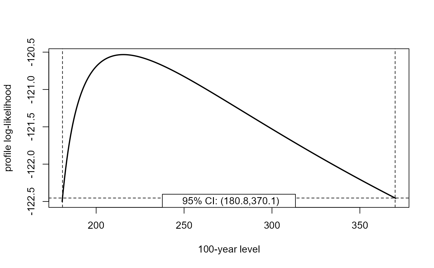
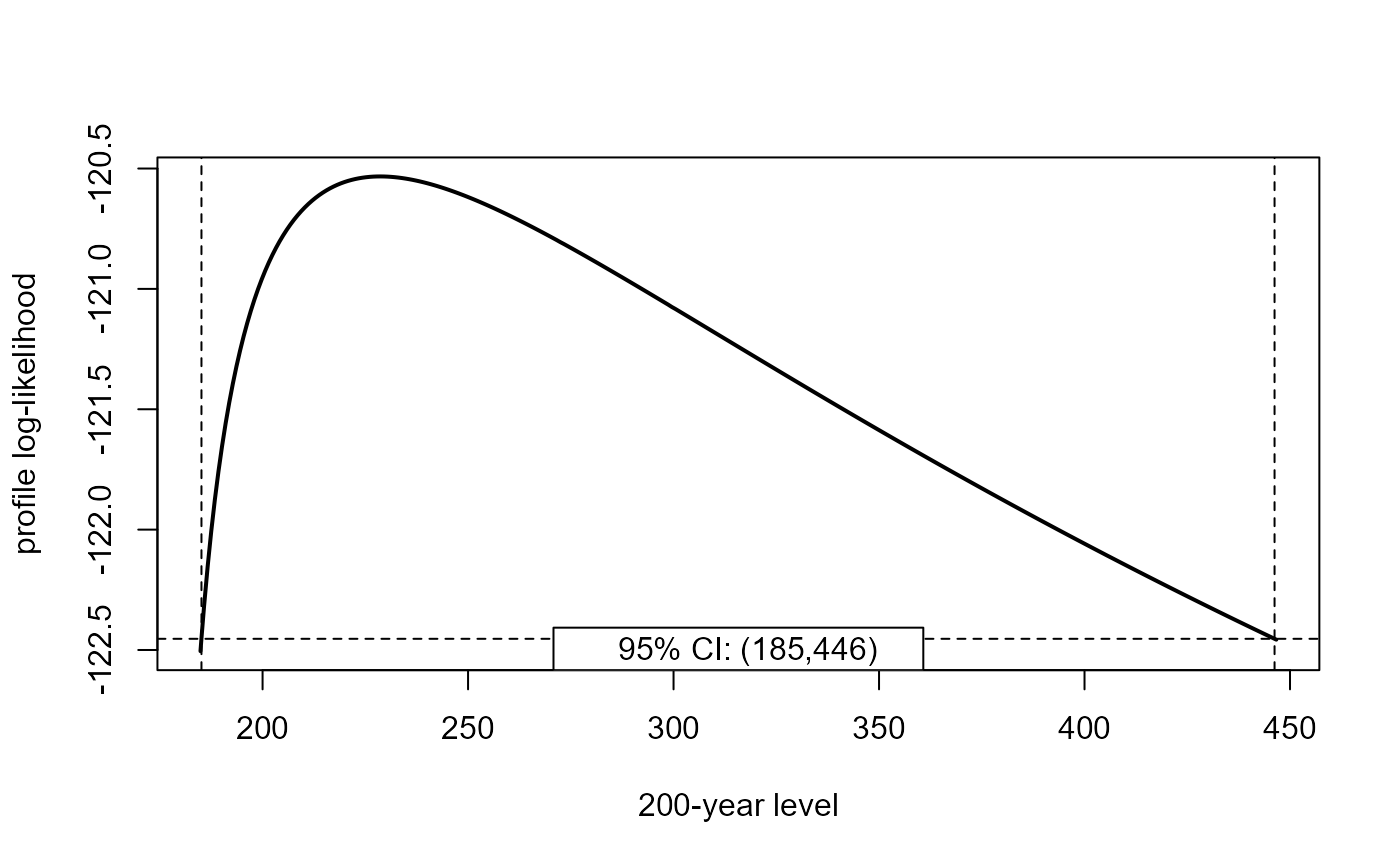
## Plymouth ozone data

fit <- gev_mle(PlymouthOzoneMaxima)
rl <- gev_return(fit, m = c(100, 200))

# Symmetric confidence intervals
sym <- confint(rl)

# Profile-based confidence intervals

prof <- confint(rl, profile = TRUE)
prof
#>                    2.5%    97.5%
#> 100-year level 180.8494 370.0531
#> 200-year level 185.1301 446.2398
plot(prof, digits = 4)

plot(prof, parm = 2, digits = 3)


# Doing this more quickly when we only care about the confidence limits
prof <- confint(rl, profile = TRUE, mult = 32, faster = TRUE)
plot(prof, digits = 3, type = "b")

plot(prof, parm = 2, digits = 3, type = "b")